一種與普通電視兼容的立體電視技術方案
- 作者:
- 安徽新天源建設咨詢有限公司
- 最后修訂:
- 2020-07-21 16:16:51
摘要:
摘要:本文從電視枝術的空間結構和它的空間狀態的角度,探討立體電視為何不能走進千家萬戶百姓家,為何不能形成大產業?主要的瓶頸是立體電視和現行電視的兼容問題。提出解決問題的可能途徑。
關鍵詞:立體電視;裸眼;線性空間;熵;頻率調制;相位調制;時間調制;空間調制。
立體電視為何不能走進千家萬戶百姓家?為何不能形成大產業?因為目前還沒有符合下面這二條:首先技術上要達到立體電視和普通電視的兼容,其次,是價格上不能太貴。阻礙兼容問題是,現在的立體電視只是一種偽立體,它很容易讓人們誤入歧途,而無法創新地建立嶄新的體系。目前立體電視顯示的方法,都建筑在用左右兩幅圖像,通過頻率調制,或者相位調制,或者時間調制,分別傳遞到觀察者雙眼,然后再形成立體影像這種陳舊的基礎上的。而且,都采用左右兩幅稍有差異圖像一起投射到同一屏幕上,裸眼觀察模糊不清, 再需要借助于附加的,不同的左右眼鏡特性將左右兩幅圖像分別傳遞到觀察者相應的左右眼,從而在觀察者的大腦中合成出立體圖像。顯而易見,這種立體圖像顯示的方法,從誕生至今從來沒有進步過,既無法進行裸眼觀察,又不能簡化信息傳送量,所以無法與現有的電視制度相兼容。為了使立體電視能進入到千家萬戶,能與現有的電視制度相互兼容是必不可少的,所以,只有徹底否定”用左右兩幅圖像來復原的立體圖像”的這一命題,而建立起新型的立體電視制度;才能創建在一幅平面圖像基礎上,構建成一個完全的立體圖像,這樣才是通向解決上述困惑的一條坦途。
如何解決兼容問題?主要解決以下二個問題:
1、為了與現行的電視系統相兼容,立體電視系統的帶寬應不大于8兆赫,這就意味著對立體電視系統的巨大信息量要進行縮減;
2、立體電視系統應該是裸眼觀看,以適合觀眾的觀看習慣。
我們知道,傳統電視系統是由行向量H,幀向量V,亮度向量Y組成的三維線性空間的結構。用以下的矩陣來表示:

現行的彩色電視系統中,由行向量H,幀向量V,亮度向量Y組成的,表達彩色信息的是由紅向量R,綠向量G,蘭向量B的三維線性空間。也可用以下的矩陣來表示:

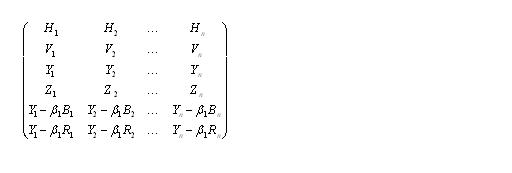
而現在的偽立體電視是由行向量H,幀向量V,亮度向量Y組成的三維線性空間。表達彩色信息的是由紅向量R,R',綠向量G,G',蘭向量B,B'組成的。共有H,V,Y,R,G,B,R',G',B'九個向量,通過不同的線性組合,組成的三維線性空間。可用以下左右二個的矩陣來表示:

從上述系統結構中,我們可以看出,三個系統都處在相同的三維線性空間中,而它們的復雜性卻越來越大,表示它們傳送的信息量也越來越大。偽立體電視所傳送的信息量巨大,是普通電視系統無法適應的。所以,這就是不能相互兼容的問題所在。我們知道,系統的信息量越大,那未系統的熵也越大。為了減小熵值,我們可以提高系統結構的維數。如果我們重新設計一種新型的立體電視系統的結構,這立體電視系統是采用空間調制原理,由一幅平面圖象組成,而它的每一象素都受一景深信號Z所控制,呈現出與現眾距離的變化,在空間中形成一幅立體的虛像。這樣既解決降低系統的熵值,又實現了裸眼觀看。要實行這個目標,我們首先應定義景深向量Z=(z1,z2,z3,…),它是與觀眾觀察每一象素的視角大小有關。那未新型的立體電視系統的結構是由由行向量H,幀向量V,亮度向量Y,景深向量Z組成的,表達彩色信息的是由紅向量R,綠向量G,蘭向量B的四維線性空間。也可用以下的矩陣來表示:

我們可以比較上述的不同電視系統的矩陣,新的立體電視系統與普通的電視系統只增加了一個景深向量。通過將三維線性空間轉化為新的四維線性空間,系統的維數增加了,熵值也減小了,傳送的信息量也得到縮減。這為兼容問題確立了理論上的基礎。如何在實際的應用上付諸實施呢?我們只要研制成一幅利用電光器件,作為立體電視接收部份的屏幕前的景深屏,進行空間調制,它具有光線折射率α隨著電信號(景深信號z)的改變而發生變化,景深信號z→景深屏的光線折射率α→觀察者的視角→景深L。它們之間的函數關系:
L=f (z) ....................(1)
式中L : 觀察者認為的景深;z :景深信號。
本方法運用主、付攝像機所取得的主、付兩幅圖像信號,經運算分離出景深信號z,
使 z=g (λ) ..............(2 )
式中z:分離出景深電信號;λ: 攝像機與被攝物體的距離。
如圖3所示:主攝像機(1)和付攝像機(2)在同步信號的啟動下,同步進行兩幅平面圖像的行掃描和幀掃描,然后,在每一行掃描時,將主、付兩攝像機的同步輸出的略有差異的主、付兩幅圖像信號的相位φ1、φ2進行運算分離得到即時的景深信號:
z==ζ(φ1-φ2 )..................( 3 )
式中z:電視景深信號;φ1:主攝像機輸出的圖像信號的相位;φ2:付攝像機輸出的圖像信號的相位。
而主幅圖象就是通常的平面電視圖象。付幅圖象信號的相位φ2主要用于與主幅圖象信號的相位φ1進行運算分離(3)出景深信號z,進而再去控制景深屏(7)的光折射率α,同時,在景深屏(7)上進行同步的幀、行掃描,使景深屏(7)上形成了由光折射率α不同,而組成的一幅潛像。這樣,就會使普通屏幕(8)的圖象上的每一象素與景深屏(7)潛像上的每一象素一一對應,這樣,觀察者的視角就會產生,在前后位置有規律的變化。那未,觀察者的景深L也按原來的立體場景進行重現。假設景深信號z為一常量k,那么景深屏(7)的光射率α也不發生變化,景深L也沒有發生改變,這就顯示出通常的平面電視圖像。這樣,就完成了立體電視與平面電視相兼容的任務。

圖1,是觀眾觀察像素S,而體現景深距離L。
圖2,是觀眾通過光折射屏A,觀察像素S,而體現景深距離L'。觀眾體現景深距離發生變化。

圖3,取得景深信號的框圖。

圖4a,新型立體電視系統的發射部份的框圖。其中虛線部份,即是在普通電視系統基礎上新增的部份。

圖4b,新型立體電視系統的接收部份的框圖。其中虛線部份,即是在普通電視系統基礎上新增的部份。
景深屏可以采用多種方案來考慮,如采用一種透明的壓電陶瓷材料兩面涂以透明電極,組成類似三明治結構。在不同的電壓下,透明壓電陶瓷對光的折射率會發生變化;或再采用點陣的掃描方法,來完成同步的幀、行掃描。

